Würzburger Quantenphysik-Konzept

V32a Das Haroche-Experiment zur Komplementarität von Welcher-Weg-Information und Interferenz

Emission von Licht  objektiver Zufall

Lehrtext/Inhalt

Glossar  wissenschaftliche Experimente

Im- pres- sum

Zugrunde liegt die Anordnung des Ramsey-Interferometers. Interferenz kommt dort zustande, weil zwischen zwei "Energiewegen" eines hoch angeregten Rydberg-Atoms (z.B. in den Zuständen n = 50 oder n = 49) nicht unterschieden wird.

Haroche (Nobelpreis zus. mit Wineland 2012) hat nun vorgeschlagen, zwischen den beiden Ramsey-Resonatoren C eine Energiemessung ("Weg 1": E50 oder "Weg 2": E 49) mit Hilfe eines weiteren Hohlraumresonators C vorzunehmen. Es handelt sich um einen Resonator mit supraleitenden Niob-Spiegeln; Teile der Anordnung sind - um thermisches Rauschen auszuschließen - auf 1 K gekühlt. Er hat auch eine Möglichkeit gefunden, die Messung mehr oder weniger genau vorzunehmen. Je nachdem können wir eine mehr oder weniger starke Verwischung der Interferenz erwarten (Keine Interferenz bei sehr genauer "Weg"-Entscheidung in C).

Es werden Rydberg-Atome im angeregten Zustand |e> mit einer bestimmten konstanten Geschwindigkeit (Größenordnung 200 m/s) "eingeschossen". RZ1 wird auch weggelassen. C hat  dann eine Doppelfunktion: Erstens stellt es (falls nicht gerade das Vakuumfeld enthalten ist) wie sonst in RZ1 eine Überlagerung der zwei Zustände des Rydberg-Atoms her ( z.B. mit E50 oder E51). Zweitens wird dort - nach dem Nachweis des Atoms im selektiven Detektor - festgestellt, ob das Atom die Resonatoren C und RZ2 im höheren (|e> oder tieferen Zustand (|g>) durchlaufen hat. Hat das Feld in C nämlich einen Übergang von  |e> nach |g> bewirkt, muss ein weiteres Photon in C enthalten sein. In C wird ein kohärentes elektromagnetisches Feld erzeugt, mit un-be-stimmter Photonenzahl N bei einer mittleren quadratischen Abweichung der Photonenzahl vom Mittelwert entsprechend √N.

Beobachtet wird Folgendes:

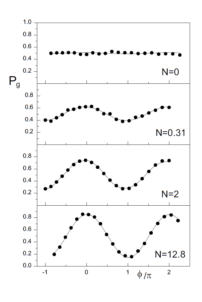
1. Bei relativ großer Feldstärke in C (entsprechend relativ großer mittlerer Photonenzahl, schon  in der Größenordnung von 10 ) sind deutliche Interferenzen zu beobachten, wenn Phasenbeziehungen durch Laufzeiten oder Frequenzänderungen variiert werden.

2. Bei kleiner Feldstärke in C (entsprechend einer sehr kleinen mittleren Photonenzahl in der Größenordnung von < 1 ) verschwindet die Interferenz. Bei kohärenten Zuständen lässt sich eine so geringe mittlere Photonenzahl einstellen.

3. Dazwischen gibt es alle möglichen Übergänge.

Das Ergebnis lässt sich leicht deuten: Bei relativ großer mittlerer Photonenzahl lässt sich bei den ohnehin starken Fluktuationen der Photonenzahl schwer feststellen, ob sich die Photonenzahl um 1 geändert hat. Man kann durch die Photonenzahl in C also kaum Information über den "Energieweg" bekommen. Das gelingt aber gut bei kleiner mittlerer Photonenzahl:

Abb. 1: Schematische Anordnung; ein wenig mehr erläutert in Abb. 3 (unten)

Welcher-("Energie-")Weg-Information und Interferenz sind also komplementär.

Die Information über den atomaren Zustand ist also im elektromagnetischen Feld des Hohlraumresonators C enthalten (durch die Photonenzahl). Beim Versuch kommt es nicht darauf an, dass diese Information tatsächlich auch ausgelesen wird. Grund ist ähnlich wie beim Scully-Englert-Walther-Versuch, dass sich, besonders bei geringer Photonenzahl, verschränkte Zustände zwischen elektromagnetischem Feld und dem Atom ausbilden, wobei der Feldanteil im Resonator C gefangen bleibt und so an der eventuellen Interferenz hinter RZ2 nicht teilnehmen kann.

Abb. 2: Messergebnisse von Haroche und Mitarbeitern aus der unten genannten Quelle. Nach rechts aufgetragen  ist der Phasenunterschied zwischen den beiden überlagerten (Energie-)Zuständen des Rydberg-Atoms, der schließlich in RZ2 entstanden ist. N ist die mittlere Photonenzahl im kohärenten Zustand des elektromagnetischen Feldes in C. Nur, wenn kein Photon im Feld ist (Vakuum), ist in ihm auch keine Information über den Energiezustand des Atoms enthalten. Ähnliche Folgen der Komplementarität bzgl. Welcher-Weg-Information und Interferenzfähigkeit finden wir beim Doppelspalt und bei Mach-Zehnder-Interferometer.

E 1. Welcher ("Energie-")Weg-Information und Interferenz sind komplementär.

2. Je genauer die ("Energie-")Weg-Information prinzipiell gewonnen werden kann, desto weniger ausgeprägt ist die Interferenz-Erscheinung.

Lit.:


Anhang:
Beide Ramsey-Zonen werden mit π/2-Pulsen versorgt. Es entstehen in ihnen folgende Überlagerungszustände (ohne Normierungsfaktoren) des eintretenden Rydberg-Atoms:

RZ1:    |g> => |g> + |a>

RZ2:    |g> => |g> + |a>     und    |a> => - |a> + |g>

In den selektiven Detektor gelangen Atome mit dem |g>-Anteil:    (1 + e) |g>

und dem |a>-Anteil.   (1 - e) |a>.

Beide Anteile können zu einem φ-abhängigen Interferenzterm führen.

Abb. 3: Zustandekommen des Interferenz-Terms. Der angeregte Zustand heißt hier |a> (statt |e>)


( Dez. 2017 : Zeichensatz geändert )